ขั้นตอนและวิธีการ (แผนภาพ)

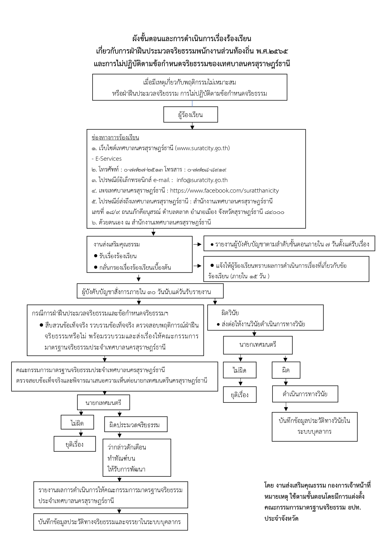
ร้องเรียนเกี่ยวกับการฝ่าฝืนประมวลจริยธรรมพนักงานส่วนท้องถิ่น พ.ศ. 2565 และการไม่ปฏิบัติตามข้อกำหนดจริยธรรมของเทศบาลนครสุราษฎร์ธานี
ข้อมูลผู้รับผิดชอบ (ระบุรายบุคคล)
ติดต่องานส่งเสริมคุณธรรม
สามารถติดต่อได้หลายช่องทางได้แก่
- เว็บไซต์เทศบาลนครสุราษฎร์ธานี (www.suratcity.go.th - E-Service)
- โทรศัพท์ หมายเลข 077272513 หรือโทรสาร หมายเลข 0-7728-8918
- ไปรษณีย์อิเล็กทรอนิกส์ email : info@suratcity.go.th
- เพจเทศบาลนครสุราษฎร์ธานี : https://www.facebook.com/suratthanicity
- ไปรษณีย์ส่งถึงเทศบาลนครสุราษฎร์ธานี : สำนักงานเทศบาลนครสุราษฎร์ธานี เลขที่ 18/9 ถนนภักดีอนุสรณ์ ตำบลตลาด อำเภอเมือง จังหวัดสุราษฎร์ธานี
- ติดต่อด้วยตนเอง ณ สำนักงานเทศบาลนครสุราษฎร์ธานี